公司电话:
400-003-1788
客服电话:
0543-2253688
企业质量信用报告
公司简介
服务理念
销售网络
公司新闻
行业资讯
市场快讯
电力电缆
架空
控制电缆
橡套
联系我们
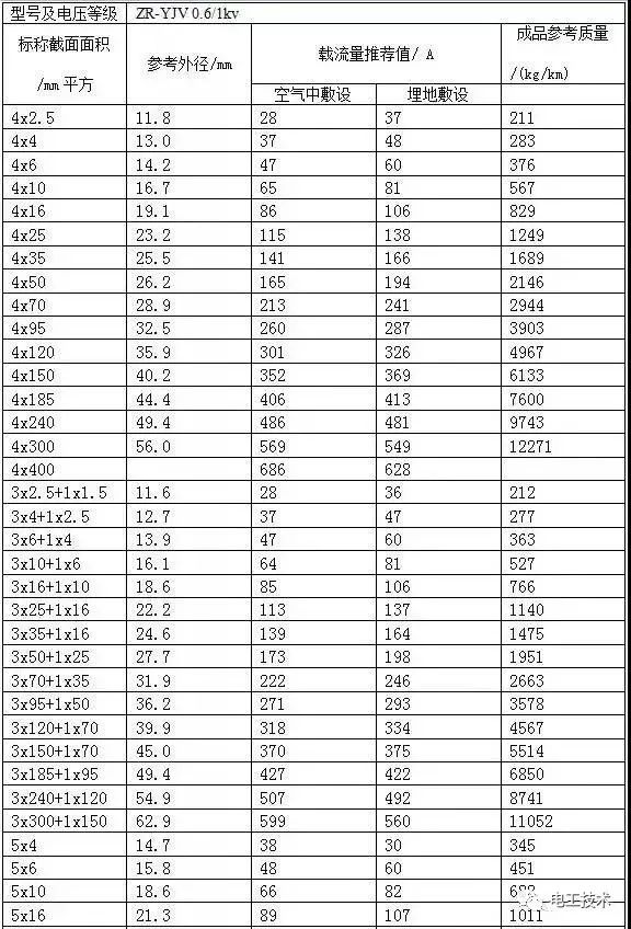
0.6/1KV聚氯乙烯绝缘电力电缆载流量
公司地址:山东省无棣县信阳乡政府驻地
网址:http://www.hfdl.cn
手机:0543-2253977
版权所有:山东无棣海丰电缆有限公司 【鲁ICP备09021819号】[鲁公网安备 37162302000036号] ] 技术支持:远洋科技
版权所有:山东无棣海丰电缆有限公司
【鲁ICP备09021819号】[鲁公网安备 37162302000036号] ] 技术支持:远洋科技
免费销售热线
在线客服
官方手机站
官方微信公众号